正文:
翻译工具几乎每天都会用,但背后的模型往往很庞大,通常需要连接云端算力才能跑。腾讯这次推出的 HY-MT1.5 系列打破这一限制,提供两个版本,覆盖不同使用场景:
-
1.8B 小尺寸版:体积虽小,表现却能和更大的模型掰手腕。经过优化后,手机等端侧设备只需约 1GB 内存就能流畅运行。翻译约 50 个汉字的句子,平均响应时间仅0.18秒。
-
7B 升级版:延续并升级了拿下 WMT25 冠军的系统,更擅长处理复杂混合语言、专业术语以及特定格式的翻译,主要面向服务器部署。
-

它为何更聪明?
为让模型更贴近人类的语言习惯,腾讯研究团队采用了“五步走”的训练策略:
-
夯实语言底层:先用海量多语种文本训练,让模型掌握基本的语言规律。
-
专项强化:注入大量双语对齐数据,让它从“会说话”升级到“会翻译”。
-
精细微调:借助高质量文档数据打磨,让译文更地道自然。
-
大带小(蒸馏):由 7B 大模型指导 1.8B 小模型,把“经验”传给小模型,小体量也能有大智慧。
-
人类评价:引入人工评分标准,围绕准确度、流畅度和文化差异进行优化。
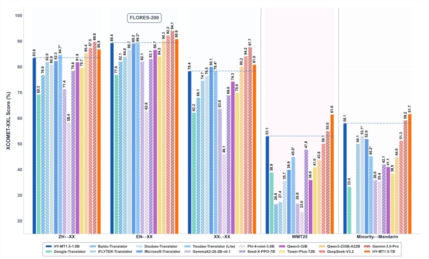
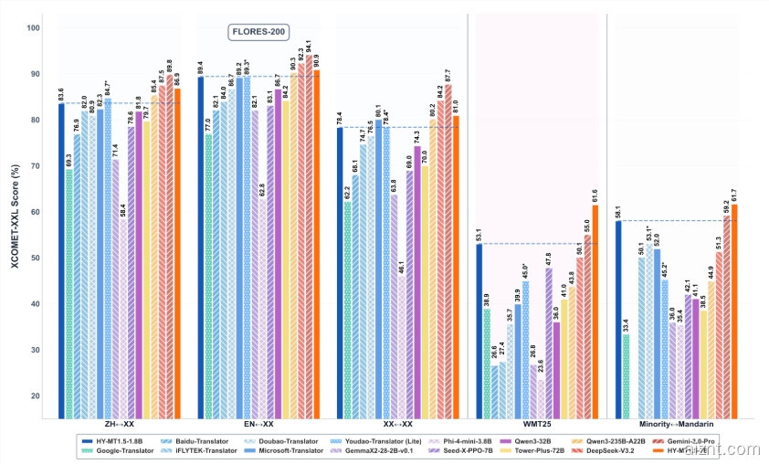
实测表现:超过部分主流模型
在多项权威测试中,HY-MT1.5 的表现十分亮眼:
-
在 WMT25 等国际评测中,7B 版本的得分超越了Gemini3.0Pro以及不少专业翻译模型。
-
哪怕是“普通话到少数民族语言”这种相对冷门的方向,表现也很突出。
-
1.8B 版本在真实人工测试中的评分,也高于百度、谷歌、微软等主流商业翻译系统。
除了准确度高,HY-MT1.5 还解决了不少使用痛点:
-
支持术语约束:你可以指定词汇固定译法。比如“混元珠”要翻成“Chaos Pearl”,它就不会改成其他说法。
-
理解上下文:像“pilot”这种词,脱离上下文可能译为“飞行员”,但若语境是美剧,它能识别为“试播集”。
-
保留格式:翻译带有 HTML 标签或特殊结构的内容时,能在输出译文的同时,完整保留原有标签与排版。
目前,腾讯已将该模型的权重在
github:https://github.com/Tencent-Hunyuan/HY-MT
huggingface:https://huggingface.co/collections/tencent/hy-mt15



















用户38505528 8个月前0
粘贴不了啊用户12648782 9个月前0
用法杂不对呢?yfarer 9个月前0
草稿id无法下载,是什么问题?